instruments:quicklooks_rhubc2:level0a:0908
This is an old revision of the document!
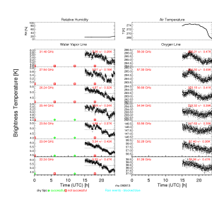
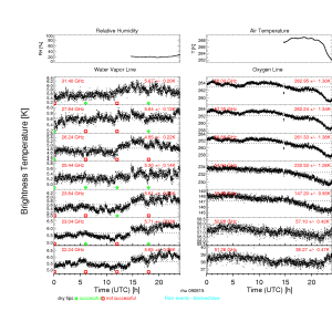
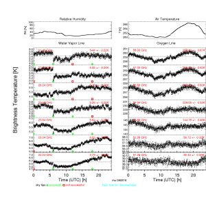
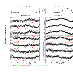
Hatpro@RHUBC-II August 2009


































instruments/quicklooks_rhubc2/level0a/0908.1294232264.txt.gz ยท Last modified: (external edit)
This is an old revision of the document!

































